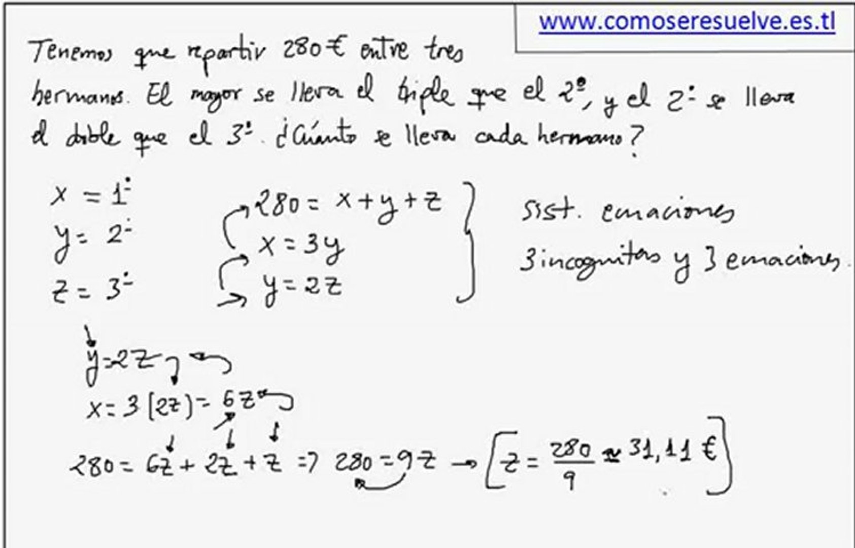
Sistema De Ecuaciones Con Tres Incognitas Ejemplos
El administrador recopila datos sobre Sistema De Ecuaciones Con Tres Incognitas Ejemplos.
Información detallada sobre sistema de ecuaciones con tres incognitas ejemplos podemos compartir. Administrador Opciones de Ejemplo blog 2019 también recopila imágenes relacionadas con sistema de ecuaciones con tres incognitas ejemplos se detalla a continuación.
Del mismo modo la información completa sobre sistema de ecuaciones con tres incognitas ejemplos. Gracias por visitar el blog Opciones de Ejemplo 2019.












0 Response to "Sistema De Ecuaciones Con Tres Incognitas Ejemplos"
Post a Comment